美國賓夕法尼亞州立大學研究人員證明蘑菇是抗氧化劑麥角硫因和谷胱甘肽的豐富來源
蘑菇以前被認為是低熱量,低脂肪的食物,沒有什么有益的營養。然而,在過去的十年里,研究集中在蘑菇作為飲食的營養成分和預防/治療慢性疾病中的作用。蘑菇是營養物質的極佳來源,如核黃素和其他B族維生素、硒、銅和鉀,還富含膳食纖維、幾丁質和葡聚糖(真菌細胞壁的關鍵成分)。也有證據表明,暴露于紫外線下的蘑菇是維生素D2的豐富來源。特別有趣的是,蘑菇被發現含有高水平的抗氧化劑,包括酚類化合物,特別是含硫氨基酸麥角硫因(ERGO)。
麥角硫因于1909年在麥角菌Claviceps purpurea(Tanret,1909)中首次發現,麥角硫因僅由真菌和一些藍藻及分枝桿菌產生,半胱氨酸和甲硫氨酸分別提供硫和甲基。麥角硫因的特點是在水溶液和生理pH值下主要以巰基的形式存在,而不是硫醇。
ERGO是一種重要的生物抗氧化劑,它與其他抗氧化劑一起作用,保護線粒體免受氧化損傷。ERGO遍布人體,在紅細胞、肝臟、腎臟和精液中含量最高。盡管具體的作用尚未闡明,但由于在許多組織中存在一種專用轉運體,ERGO可能在人類健康中具有重要意義。
ERGO與另一種重要的含硫抗氧化劑谷胱甘肽(GSH)有關。這種普遍存在的三肽(γ-谷氨酰半胱氨酸)被認為是幾乎所有生物體內的主要細胞內抗氧化劑,并具有其他功能,包括對多種毒素和致癌物進行解毒、蛋白質功能的翻譯后調節和免疫功能的維持。有人認為,在氧化負荷存在的情況下,通過與其他細胞防御系統相互作用,ERGO可以幫助維持GSH水平。
維持GSH的最佳組織水平對于維持健康和預防疾病至關重要,甚至局部GSH耗盡也會損害免疫功能,并增加對多種外源性物質的敏感性和氧化損傷。低GSH水平與癌癥、心血管疾病、關節炎和糖尿病的風險增加相關。維持最佳GSH水平可能在一定程度上取決于GSH的膳食攝入量。在實驗室研究中,膳食谷胱甘肽被發現具有生物利用性,是維持組織細胞內谷胱甘肽水平的重要來源。最近的臨床試驗結果證實了口服谷胱甘肽對增加機體谷胱甘肽儲存量的有效性。因此,有必要確定飲食中GSH的主要來源及其誘導物。
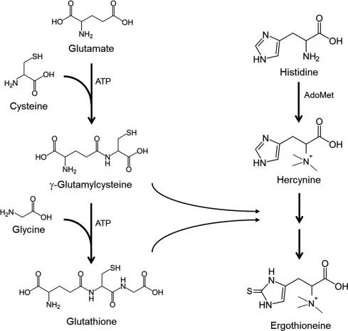
在產ERGO的有機體中,ERGO生物合成似乎依賴于GSH及其前體。GSH合成包括在兩步酶催化反應中依次添加Glu、Cys和Gly(圖1)。ERGO的生物合成包括組氨酸甲基化,形成組氨酸三甲基內鹽,然后并入從Cys中導入的硫(圖1)。在結核分枝桿菌中,后一步被認為是通過將谷胱甘肽前體γ-谷氨酰半胱氨酸并入組氨酸三甲基內鹽而發生的。然而,最近的藍藻集胞藻屬數據表明,GSH本身對EGT合成至關重要。最后,ERGO可以通過誘導Nrf2/ARE介導的信號通路來誘導GSH的合成。

圖1.麥角硫因和谷胱甘肽的生物合成途徑。
早期的研究表明,蘑菇中含有最高水平的ERGO。其他高ERGO含量的食物包括紅豆、燕麥麩和肝臟。已經證明,當蘑菇作為膳食的一部分時,麥角硫因是生物可利用的,但對主要生物抗氧化劑谷胱甘肽的水平知之甚少。因此,美國賓夕法尼亞州立大學食品科學系植物和蘑菇食品健康中心進行了一項研究,測定和比較不同種類蘑菇中谷胱甘肽和麥角硫因的含量。發現GSH和ERGO的含量在不同種類的蘑菇中差異很大,谷胱甘肽含量變化超過20倍(0.11-2.41mg/g dw),這是首次全面分析不同蘑菇中的谷胱甘肽水平。這些結果表明,谷胱甘肽在大多數蘑菇物種中含量較高。有關各種食物中谷胱甘肽含量的數據有限。在之前的兩份報告中,蔬菜、水果和肉類的谷胱甘肽含量較高,而其他食物的谷胱甘肽含量較低。水果和蔬菜的谷胱甘肽含量主要在0.1-4 mg/g dw范圍內,其中蘆筍的谷胱甘肽含量最高(3.9 mg/g dw) (Jones et al.,1992)。在目前的研究中,蘑菇的谷胱甘肽含量高達7.8 mg/g dw,這表明富含谷胱甘肽的蘑菇比之前檢測到的任何其他蔬菜或水果的谷胱甘肽含量都要高。因此,蘑菇很可能是膳食中谷胱甘肽的重要來源,特別是在蘑菇攝入量高的地區。
麥角硫因的含量變化也很大(0.15–7.27 mg/g dw),并且與谷胱甘肽的水平高度相關(r=0.62,P<0.001)。這表明谷胱甘肽含量高的蘑菇往往也含有較高的ERGO。這種關系的性質尚不清楚,但可能反映了它們連接的生物合成途徑,以及某些菌株基于其快速生長和高呼吸率對抗氧化能力的更大需求。兩種抗氧化劑在菌蓋中的濃度高于菌柄組織。與第一次收獲的雙孢蘑菇相比,第三次收獲的雙孢蘑菇含有更高水平的麥角硫因和谷胱甘肽,這可能是對氧化應激增加的反應。
為了比較這兩種重要抗氧化劑ERGO和GSH的豐度,結果以μmol/g干重表示(表1)。對于大多數蘑菇來說,ERGO水平相當于或大于GSH,其中金頂側耳和美味牛肝菌最為顯著,它們的ERGO水平比GSH高4到7倍。因此,與大多數生物不同,這些蘑菇的獨特之處在于ERGO是它最豐富的細胞內抗氧化劑,而不是GSH?;诟咚降?span>ERGO和GSH,蘑菇顯然代表了一個獨特的豐富的抗氧化劑飲食來源。鑒于氧化應激在疾病發展和衰老過程中的重要作用以及眾所周知的抗氧化劑的保護作用,蘑菇可以起到良好的機體保護作用。迄今為止,關于食用蘑菇對氧化應激和相關疾病的影響的流行病學研究或人類干預試驗很少。

表1.蘑菇的總谷胱甘肽和麥角硫因含量
總的來說,目前的發現已經確定了幾種蘑菇的GSH和ERGO含量都特別高。GSH作為哺乳動物細胞和組織中的主要抗氧化劑起著至關重要的作用,膳食中GSH的攝入已被認為是機體GSH的重要來源。最近的研究也證實了ERGO是一種潛在的重要抗氧化劑/營養素,具有潛在的預防作用。這項研究發現,蘑菇(特別是金頂側耳和美味牛肝菌)是這些重要抗氧化劑的豐富膳食來源,這可能具有重要的轉化意義,這表明食用蘑菇可能與減少氧化應激相關疾病和紊亂有關。因此,未來旨在評估食用蘑菇對健康的影響的研究是有必要的。
